Задать свой вопрос   *более 50 000 пользователей получили ответ на «Решим всё»

Задача 28033 Помогите решить! 5^(x+2)+5^(x+1)-5^x <...

Условие

Помогите решить!
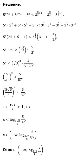
5^(x+2)+5^(x+1)-5^x < 3(x/2+1)-3^(x/2)-3(x/2-1).

математика 10-11 класс 7426

Решение

Все решения

5^x*(5^2+5-1) < 3^(x/2)*(3^1-1-(3^(-1)));

3^(x/2)=(3^(1/2))^x=(sqrt(3))^x > 0 при любом х

Делим на (sqrt(3))^x

5^(x)*29 < (sqrt(3))^x*(5/3)

(5/sqrt(3))^x < (5/87)

Показательная функция с основанием (5/sqrt(3)) возрастает.
x < log_(5/sqrt(3))(5/87)

Написать комментарий

Меню

Присоединяйся в ВК