16x-20-3x^2=(10-3x)*(x-2)
9x^2-60x+100=(3x-10)^2=(10-3x)^2
ОДЗ:
{x-2 > 0 ⇒ x > 2
{x-2 ≠ 1 ⇒ x ≠ 3
{10-3x > 0 ⇒x < 10/3
[b]x∈ (2;3)U(3;10/3)[/b]
При x∈ (2;3)U(3;10/3)
16х-20-3x^2 =(10-3x)(x-2) > 0
и
9x^2-60x-100=(3x-10)^2=(10-3x)^2 > 0
Замена переменной
log_(x-2)(10-3x)=t
В условиях ОДЗ:
log_(x-2)(x^2-4x+4)/(10-3x)=log_(x-2)(x-2)^2-log_(x-2)(10-3x) =
=2-log_(x-2)(10-3x)=2-t
log^2_(x-2)(x^2-4x+4)/(10-3x)=(2-log_(x-2)(10-3x)^2=(2-t)^2
log_(x-2)(16x-20-3x^2)=log_(x-2)(x-2)+log_(x-2)(10-3x)
=1+t
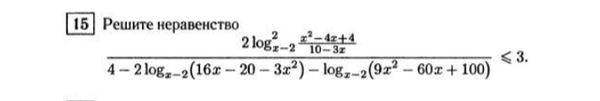
Неравенство принимает вид:
2*(2-t)^2/(4-2*(1+t)-2t) меньше или равно 3
(8-8t+2t^2-3*(2-4t))/(2-4t) меньше или равно 0
2*(t+1)^2/(2-4t) меньше или равно 0
(t+1)^2/(2t-1) больше или равно 0
_-__ [-1] __-__ (1/2) __+__
t=-1 или t > 1/2
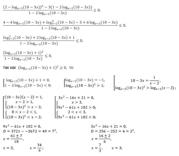
log_(x-2)(10-3x)=-1 ⇒ 10-3x=(x-2)^(-1) ⇒10-3x=1/(x-2) ⇒ (10-3x)*(x-2)=1 ⇒ 3x^2-16x+21=0
D=(-16)^2-4*3*21=256-252=4
[b]x=(16-2)/6=7/3[/b] или х=(16+2)/6=3 - не входит в ОДЗ
log_(x-2)(10-3x) > (1/2)
2log_(x-2)(10-3x) > 1
log_(x-2)(10-3x)^2 > 1
Применяем метод рационализации:
(х-2-1)*((10-3х)^2-(x-2)) > 0
(x-3)*(9x^2-61x+102) > 0
9x^2-61x+102=0
D=(61)^2-4*9*102=3721-3672=49
x=(61-7)/18=3 или х=(61+7)/18=34/9
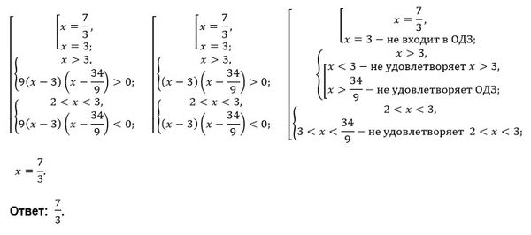
(x-3)^2*(9x-34) > 0
_-__ (3) __-__ (34/9) __+__
x > 34/9
34/9 > 10/3=30/9 и потому не входит в ОДЗ.
О т в е т. 7/3

