Задать свой вопрос
*более 50 000 пользователей получили ответ на «Решим всё»
Задача 27979
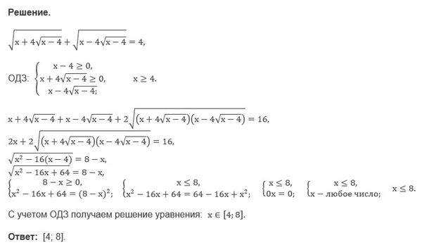
sqrt(x+4sqrt(x-4)) + sqrt(x-4sqrt(x-4))...
Условие
vk291004588
26.05.2018
sqrt(x+4sqrt(x-4)) + sqrt(x-4sqrt(x-4)) = 4
предмет не задан
743
Все решения
u821511235
26.05.2018
Написать комментарий
Меню
Решим всё
Найти задачу
Категории
Статьи
Тесты
Архив задач
Присоединяйся в ВК