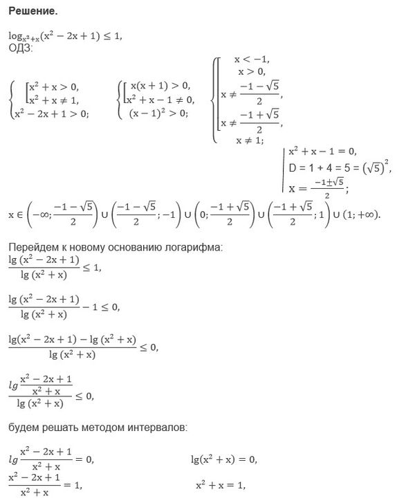
{x^2+x > 0 ⇒ x*(x+1) > 0 ⇒ (-∞;-1)U(0;+∞)
{x^2+x ≠ 1 ⇒ x^2+x-1 ≠ 0 ⇒ D=5 ⇒ x ≠ (-1-√5)/2 или x ≠ (-1+√5)/2
{x^2-2x+1 > 0 ⇒ x ≠ 1
ОДЗ:
х∈(-∞; (-1-√5)/2 )U((-1-√5)/2;-1) U(0;1) U (1;(-1+√5)/2)U((-1+√5)/2 ;+∞).
Применяем метод рационализации логарифмических неравенств ( он съэкономит Вам как минимум час на экзамене и его следует изучить и применять)
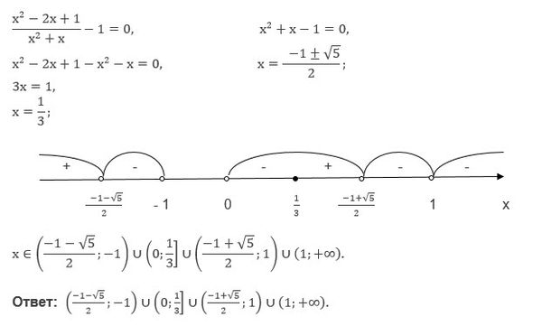
(x^2+x-1)*(x^2-2x+1-x^2-x) меньше или равно 0
(x^2+x-1)*(1-3x) меньше или равно 0
(x^2+x-1)*(3x-1) больше или равно 0
x^2+x-1=0 уже решено ( см ОДЗ)
1-3х=0 ⇒ х=1/3
_-_ [ (-1-√5)/2] __+__ [1/3] _-_ [ (-1+√5)/2] _+_
C учетом ОДЗ получаем ответ.
( (-1-√5)/2; -1) U (0;1/3]U ( (-1+√5)/2;1)U(1;+ бесконечность)
