Задать свой вопрос
*более 50 000 пользователей получили ответ на «Решим всё»
Задача 27937
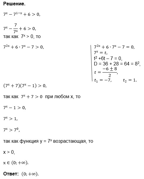
7^x-7^(1-x)+6 > 0...
Условие
u942516926
24.05.2018
7^x-7^(1-x)+6 > 0
предмет не задан
627
Все решения
u821511235
25.05.2018
Написать комментарий
Меню
Решим всё
Найти задачу
Категории
Статьи
Тесты
Архив задач
Присоединяйся в ВК