Задать свой вопрос   *более 50 000 пользователей получили ответ на «Решим всё»

Задача 27911 Помогите пожалуйста Решите систему...

Условие

Помогите пожалуйста
Решите систему уравнений
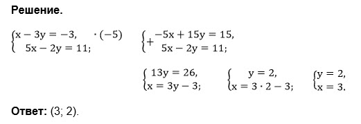
Х-3у=-3
5х-2у=11

математика 6-7 класс 7119

Все решения

Умножаем первое уравнение на (- 5)
{-5x+15y=15
{5x-2y=11
Cкладываем
13у=26
у=2
х=3у-3=3*2-3=3
О т в е т. (3;2)

Вопросы к решению (1)

Написать комментарий

Меню

Присоединяйся в ВК