Задать свой вопрос
*более 50 000 пользователей получили ответ на «Решим всё»
Задача 27903
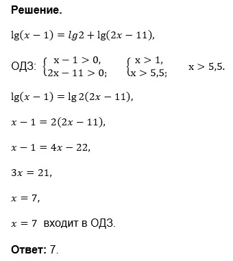
lg(x-1)=lg2+lg(2x-11)...
Условие
u176596670
23.05.2018
lg(x-1)=lg2+lg(2x-11)
предмет не задан
851
Все решения
u821511235
24.05.2018
U1091264169
23.05.2018
Написать комментарий
Меню
Решим всё
Найти задачу
Категории
Статьи
Тесты
Архив задач
Присоединяйся в ВК