Задать свой вопрос   *более 50 000 пользователей получили ответ на «Решим всё»

Задача 27856 ...

Условие

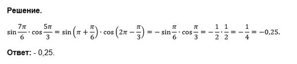
преобразуйте выражение sin 7π/6 cos 5π/3

предмет не задан 676

Все решения

sin(7Pi/6) = sin(Pi + (Pi/6)) = - sin (Pi/6) = - 1/2

cos(5Pi/3)=cos( Pi + (2Pi/3))=-cos(2Pi/3)=-(-1/2)=1/2

О т в е т. (-1/2)*(1/2)=-1/4

Написать комментарий

Меню

Присоединяйся в ВК