Задать свой вопрос   *более 50 000 пользователей получили ответ на «Решим всё»

Задача 27825 Случайная величина X подчинена закону...

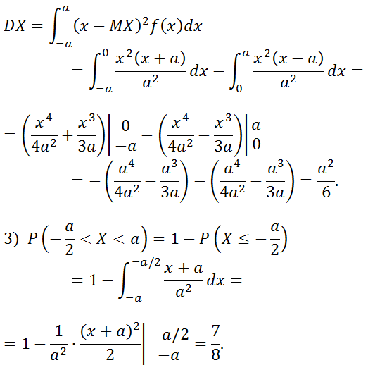
Условие

Случайная величина X подчинена закону Симпсона («закону равнобедренного треугольника») на участке от –a до a.

Найти:
1) плотность распределения;
2) числовые характеристики случайной величины;
3) вероятность попадания в интервал (-a/2; a)

математика ВУЗ 7718

Решение



Ответ: В решение

Написать комментарий

Меню

Присоединяйся в ВК