Задать свой вопрос   *более 50 000 пользователей получили ответ на «Решим всё»

Задача 2778 около окружности , радиус которой равен...

Условие

около окружности , радиус которой равен 2 , описан многоугольник , площадь которого равна 29 . найдите его периметр

математика 8-9 класс 7139

Все решения

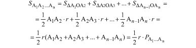
29=2*1/2*P
P=29

Написать комментарий

Меню

Присоединяйся в ВК