Задать свой вопрос   *более 50 000 пользователей получили ответ на «Решим всё»

Задача 2775 Цилиндр массой m у основания наклонной...

Условие

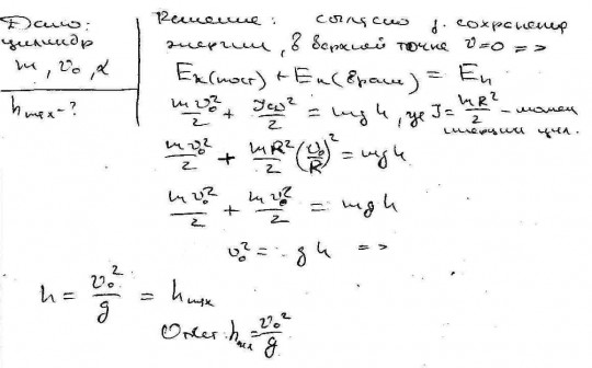
Цилиндр массой m у основания наклонной плоскости с углом наклона a имеет скорость движения v. На какую максимальную высоту может подняться этот цилиндр, двигаясь без скольжения?

физика 3609

Все решения

Написать комментарий

Меню

Присоединяйся в ВК