Задать свой вопрос
*более 50 000 пользователей получили ответ на «Решим всё»
Задача 27733
...
Условие
u188122250215
19.05.2018
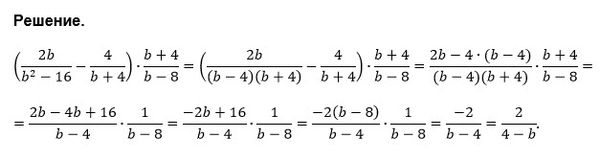
(2b/b2-16-4/b+4)×b+4/b-8
предмет не задан
1215
Все решения
u821511235
20.05.2018
Написать комментарий
Меню
Решим всё
Найти задачу
Категории
Статьи
Тесты
Архив задач
Присоединяйся в ВК