Задать свой вопрос
*более 50 000 пользователей получили ответ на «Решим всё»
Задача 27721
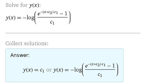
y'' - e^y y' = 0 ;...
Условие
evitel36rus
19.05.2018
y'' - e^y y' = 0 ;
математика ВУЗ
693
Все решения
slava191
20.05.2018
Написать комментарий
Меню
Решим всё
Найти задачу
Категории
Статьи
Тесты
Архив задач
Присоединяйся в ВК