Задать свой вопрос
*более 50 000 пользователей получили ответ на «Решим всё»
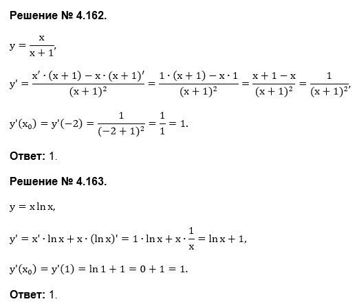
Задача 27719
Все на картинке...
Условие
u14612021113
19.05.2018
Все на картинке
предмет не задан
679
Все решения
u821511235
21.05.2018
Написать комментарий
Меню
Решим всё
Найти задачу
Категории
Статьи
Тесты
Архив задач
Присоединяйся в ВК