Задать свой вопрос
*более 50 000 пользователей получили ответ на «Решим всё»
Задача 27711
...
Условие
u188018932
18.05.2018
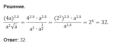
(4a)^2,5/a^2√a
математика 10-11 класс
13649
Все решения
u821511235
26.05.2018
Написать комментарий
Меню
Решим всё
Найти задачу
Категории
Статьи
Тесты
Архив задач
Присоединяйся в ВК