Задать свой вопрос
*более 50 000 пользователей получили ответ на «Решим всё»
Задача 27633
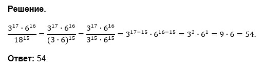
3^17*6^16/18^15 нужно решение. Заранее...
Условие
u185135151197
17.05.2018
3^17*6^16/18^15 нужно решение. Заранее спс
математика 8-9 класс
6169
Все решения
u821511235
17.05.2018
Написать комментарий
Меню
Решим всё
Найти задачу
Категории
Статьи
Тесты
Архив задач
Присоединяйся в ВК