Задать свой вопрос
*более 50 000 пользователей получили ответ на «Решим всё»
Задача 27630
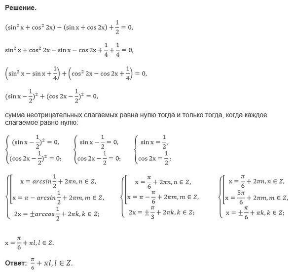
(sin^2 x + cos^2 2x) - (sinx + cos2x)...
Условие
u78111148130
17.05.2018
(sin^2 x + cos^2 2x) - (sinx + cos2x) +1\2 = 0
математика 10-11 класс
6698
Решение
u821511235
17.05.2018
★
Написать комментарий
Меню
Решим всё
Найти задачу
Категории
Статьи
Тесты
Архив задач
Присоединяйся в ВК