Задать свой вопрос
*более 50 000 пользователей получили ответ на «Решим всё»
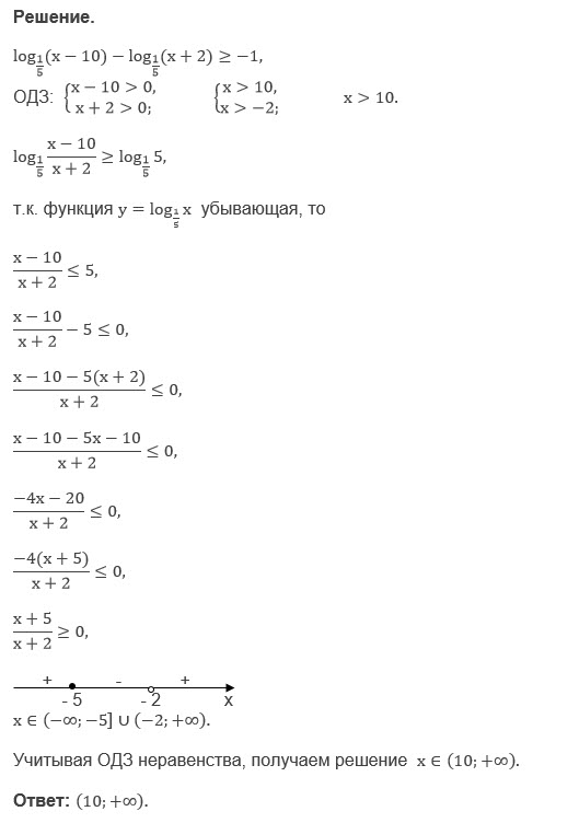
Задача 27587
log(1/5)(x-10)-log(1/5)(x+2) больше или...
Условие
u1881708093
16.05.2018
log(1/5)(x-10)-log(1/5)(x+2) больше или равно -1
математика 10-11 класс
4790
Все решения
u821511235
16.05.2018
vk295465148
16.05.2018
Написать комментарий
Категория
ЕГЭ по Математике (проф.)
задание 15 (неравенство)
Меню
Решим всё
Найти задачу
Категории
Статьи
Тесты
Архив задач
Присоединяйся в ВК