Задать свой вопрос
*более 50 000 пользователей получили ответ на «Решим всё»
Задача 27586
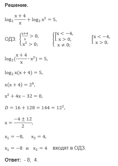
log2(( x + 4 )/x) + log2 x^2 = 5....
Условие
u19422619959
16.05.2018
log2(( x + 4 )/x) + log2 x^2 = 5.
математика 10-11 класс
740
Все решения
u821511235
16.05.2018
Написать комментарий
Меню
Решим всё
Найти задачу
Категории
Статьи
Тесты
Архив задач
Присоединяйся в ВК