Задать свой вопрос
*более 50 000 пользователей получили ответ на «Решим всё»
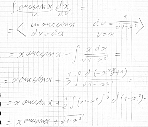
Задача 2751
...
Условие
slava191
19.01.2015
Вычислить интеграл ∫arcsinx dx
математика ВУЗ
21624
Решение
Ответ:
В решение
Написать комментарий
Меню
Решим всё
Найти задачу
Категории
Статьи
Тесты
Архив задач
Присоединяйся в ВК