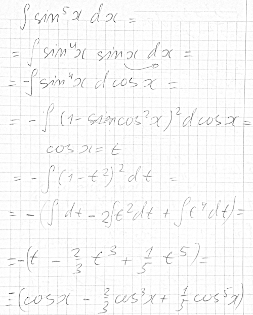
Вычислить интеграл ∫sin^5x dx
Ответ: В решение
Во второй строчке, как получили dcosx, на каком основании это возможно сделать?
это sin занесенный под знак дифференциала становится cos (и про минус не забыть). Прочитайте про прием ''внесение под знак дифференциала''