Задать свой вопрос
*более 50 000 пользователей получили ответ на «Решим всё»
Задача 2749
Написать многочлен Тейлора 2-го порядка...
Условие
slava191
19.01.2015
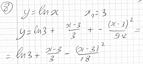
Написать многочлен Тейлора 2-го порядка для функции y=lnx при x0=3
математика ВУЗ
3670
Решение
Ответ:
В решение
Написать комментарий
Меню
Решим всё
Найти задачу
Категории
Статьи
Тесты
Архив задач
Присоединяйся в ВК