Задать свой вопрос   *более 50 000 пользователей получили ответ на «Решим всё»

Задача 2748 Вычислить приближенно 1/корень-3-степени...

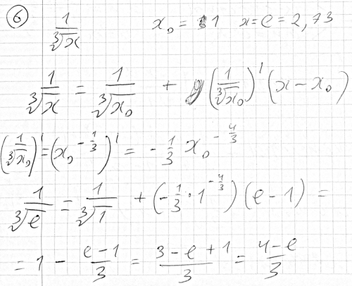
Условие

Вычислить приближенно 1/корень-3-степени из(e)

математика ВУЗ 3145

Решение

С ответом не сошлось, но как по-другому не знаю

Ответ: В решение

Написать комментарий

Меню

Присоединяйся в ВК