Задать свой вопрос   *более 50 000 пользователей получили ответ на «Решим всё»

Задача 2746 В какой точке кривой y=-sqrt(2x^3)...

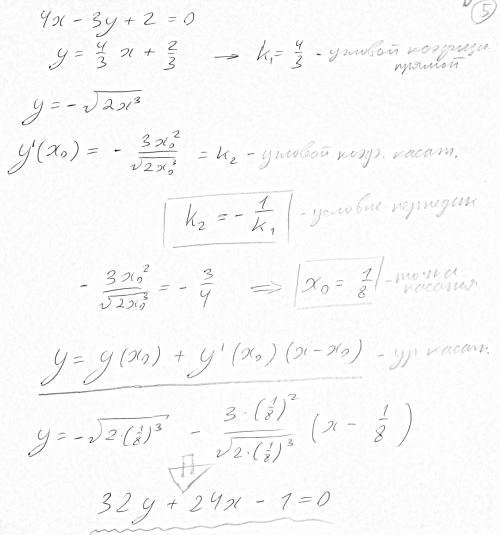
Условие

В какой точке кривой y=-sqrt(2x^3) касательная перпендикулярная прямой 4x-3y+2=0? Найти уравнение касательной в этой точке.

математика ВУЗ 6805

Решение



Ответ: В решение

Написать комментарий

Меню

Присоединяйся в ВК