Задать свой вопрос
*более 50 000 пользователей получили ответ на «Решим всё»
Задача 27454
Найдите наибольшее значение функции.Y =...
Условие
u109126253143
14.05.2018
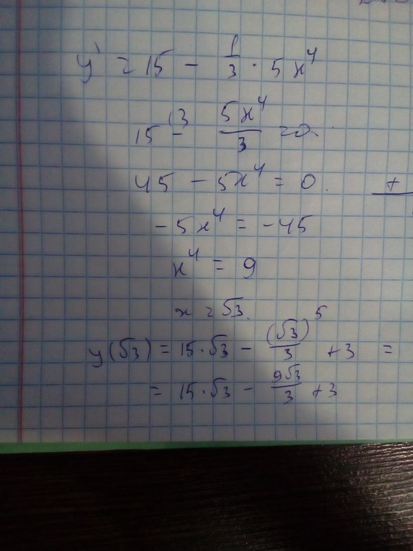
Найдите наибольшее значение функции.Y = 15 x - x^5/3 + 3;
математика 10-11 класс
2479
Все решения
vk187122833
15.05.2018
Написать комментарий
Меню
Решим всё
Найти задачу
Категории
Статьи
Тесты
Архив задач
Присоединяйся в ВК