Задать свой вопрос
*более 50 000 пользователей получили ответ на «Решим всё»
Задача 2745
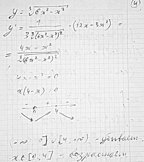
Найти промежутки возрастания и убывания...
Условие
slava191
19.01.2015
Найти промежутки возрастания и убывания функции y=корень-3-степени из (6x^2-x^3)
математика ВУЗ
7729
Решение
Ответ:
В решение
Написать комментарий
Меню
Решим всё
Найти задачу
Категории
Статьи
Тесты
Архив задач
Присоединяйся в ВК