Задать свой вопрос
*более 50 000 пользователей получили ответ на «Решим всё»
Задача 27446
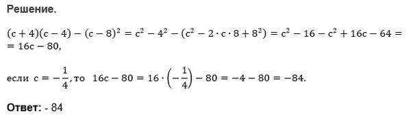
(c + 4)(c - 4) - (c - 8)2 ...
Условие
u31170169121
13.05.2018
(c + 4)(c - 4) - (c - 8)2
предмет не задан
677
Все решения
u821511235
14.05.2018
Написать комментарий
Меню
Решим всё
Найти задачу
Категории
Статьи
Тесты
Архив задач
Присоединяйся в ВК