Задать свой вопрос
*более 50 000 пользователей получили ответ на «Решим всё»
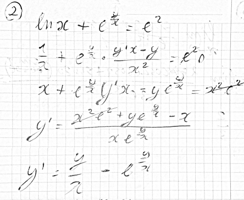
Задача 2743
Вычислить первую производную функции...
Условие
slava191
19.01.2015
Вычислить первую производную функции ln(x)+e^(y/x)=e^2
математика ВУЗ
2478
Решение
Ответ:
В решение
Написать комментарий
Меню
Решим всё
Найти задачу
Категории
Статьи
Тесты
Архив задач
Присоединяйся в ВК