Задать свой вопрос
*более 50 000 пользователей получили ответ на «Решим всё»
Задача 27422
...
Условие
u95153130121
13.05.2018
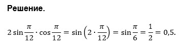
2sin(π/12)·cos(π/12)
математика 10-11 класс
611
Все решения
u821511235
13.05.2018
Написать комментарий
Категория
ЕГЭ по Математике (проф.)
задание 9 (вычислить)
Меню
Решим всё
Найти задачу
Категории
Статьи
Тесты
Архив задач
Присоединяйся в ВК