Задать свой вопрос
*более 50 000 пользователей получили ответ на «Решим всё»
Задача 2742
...
Условие
slava191
19.01.2015
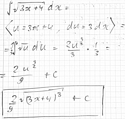
Вычислить интеграл ∫sqrt(3x+4)dx
математика ВУЗ
6585
Решение
Ответ:
В решение
Написать комментарий
Меню
Решим всё
Найти задачу
Категории
Статьи
Тесты
Архив задач
Присоединяйся в ВК