Задать свой вопрос
*более 50 000 пользователей получили ответ на «Решим всё»
Задача 2738
...
Условие
slava191
18.01.2015
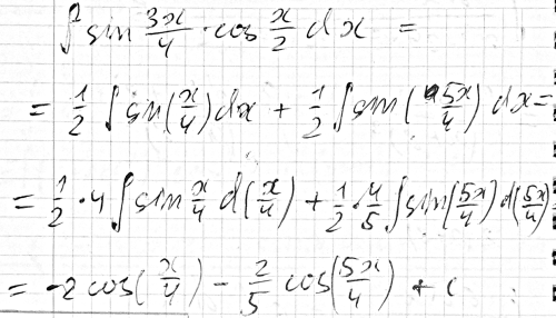
Вычислить интеграл ∫sin(3x/4)cos(x/2) dx
математика ВУЗ
4058
Решение
Ответ:
В решение
Написать комментарий
Меню
Решим всё
Найти задачу
Категории
Статьи
Тесты
Архив задач
Присоединяйся в ВК