Задать свой вопрос   *более 50 000 пользователей получили ответ на «Решим всё»

Задача 27377 упростите выражение, 2- задача...

Условие

упростите выражение, 2- задача

математика 10-11 класс 1890

Все решения

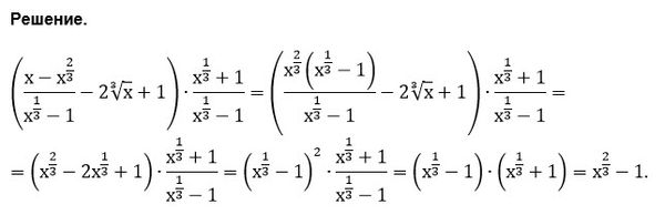
1) х-х^(2/3)=x^(2/3)*(x^(1/3)-1)

(x^(1/3)-1) в числителе первой дроби и в знаменателе сокращаются.

2) Выражение в скобках

(x^(2/3)-2∛x +1)=(∛x -1)^2

3) (∛x -1)^2 и (x^(1/3)-1) в знаменателе второй дроби сокращаются.

4) (∛х-1)*(x^(1/3)+1)=(∛x^2)-1

Написать комментарий

Меню

Присоединяйся в ВК