Задать свой вопрос
*более 50 000 пользователей получили ответ на «Решим всё»
Задача 2731
...
Условие
slava191
18.01.2015
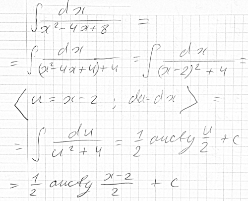
Вычислить интеграл ∫dx/(x^2-4x+8)
математика ВУЗ
17613
Решение
Ответ:
В решение
Вопросы к решению (1)
Спрашивает:
u1931065053
Aucty?
Отвечает:
slava191
arctg! арктангенс
Написать комментарий
Меню
Решим всё
Найти задачу
Категории
Статьи
Тесты
Архив задач
Присоединяйся в ВК