Задать свой вопрос
*более 50 000 пользователей получили ответ на «Решим всё»
Задача 2730
...
Условие
slava191
18.01.2015
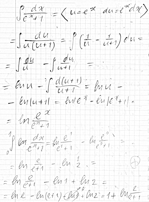
Вычислить интеграл ∫dx/(e^x+1)
математика ВУЗ
7104
Решение
Ответ:
В решение
Написать комментарий
Меню
Решим всё
Найти задачу
Категории
Статьи
Тесты
Архив задач
Присоединяйся в ВК