Задать свой вопрос   *более 50 000 пользователей получили ответ на «Решим всё»

Задача 27283 Всех с праздником! Помогите пожалуйста...

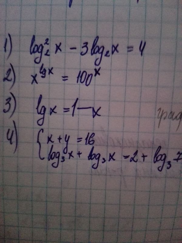
Условие

Всех с праздником!
Помогите пожалуйста решить уравнения 1-4 (3 графическим способом, остальные как обычно)

математика 10-11 класс 579

Решение

1)
ОДЗ: х > 0

Замена переменной
log_(2)x=t
t^2-3t-4=0
D=9+16=25
t=-1 или t=4

Обратная замена
log_(2)x=-1 или log_(2)x=4
х=2^(-1) или х=2^4
x=1/2 или х=16
оба корня удовл. ОДЗ
О т в е т. (1/2); 16

2)
ОДЗ
{x > 0
{x ≠1

Логарифмируем обе части уравнения по основанию 10

lgx^(lgx)=lg(100*x)
По свойству логарифма степени ( lg x^(k)=klgx, x > 0)
lgx*lgx=lg100+lgx
lg^2x=2+lgx
lg^2x-lgx-2=0
D=1-4*(-2)=9
lgx=-1 или lgx=2
x=10^(-1) или х=10^2
x=1/10 или х=100
Оба корня входят в ОДЗ
О т в е т. 1/10; 100

3)
x=1 - корень уравнения, так как lg1=1-1; 0=0 - верно

Функция у=lgx строго возрастающая, функция у =1-х строго убывающая.
Графики строго возрастающей и строго убывающей функции пересекаются в одной точке.
х=1 - единственный корень уравнения.

4)
ОДЗ:
x > 0
y > 0

Во втором уравнении сумму логарифмов заменим логарифмом произведения

{y=16-x;
{log_(3)xy=log_(3)9*7

{y=16-x
{xy=63

x*(16-x)=63
x^2-16x+63=0
D=256-4*63=4
x=7 или х=9
у=9 или y=7

О т в е т. (7;9); (9; 7)

Написать комментарий

Меню

Присоединяйся в ВК