Задать свой вопрос
*более 50 000 пользователей получили ответ на «Решим всё»
Задача 2727
...
Условие
slava191
18.01.2015
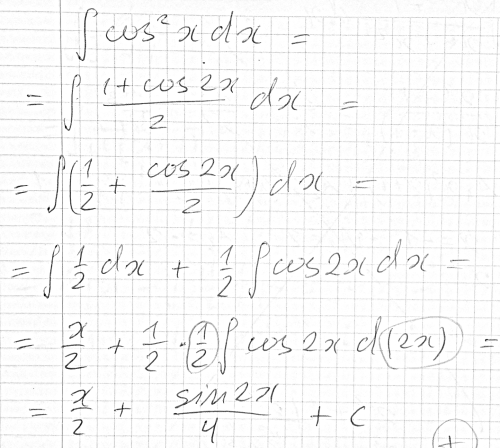
Вычислить интеграл ∫cos^2x dx
математика ВУЗ
67033
Решение
Ответ:
В решение
Все решения
u217992224
13.01.2017
Написать комментарий
Меню
Решим всё
Найти задачу
Категории
Статьи
Тесты
Архив задач
Присоединяйся в ВК