Задать свой вопрос   *более 50 000 пользователей получили ответ на «Решим всё»

Задача 2726 ...

Условие

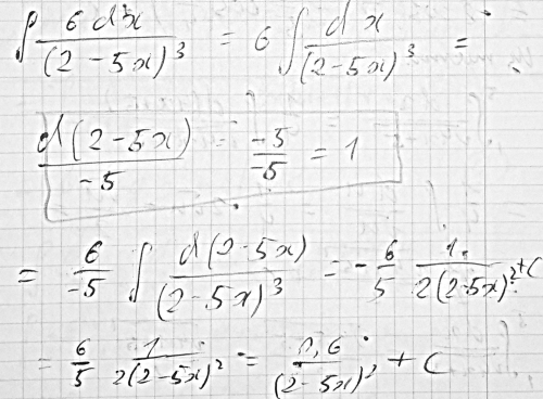
Вычислить интеграл ∫6dx/(2-5x)^3

математика ВУЗ 3069

Решение



Ответ: В решение

Вопросы к решению (1)

Написать комментарий

Меню

Присоединяйся в ВК