Задать свой вопрос
*более 50 000 пользователей получили ответ на «Решим всё»
Задача 2720
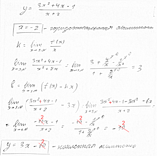
Найти асимптоты функции...
Условие
slava191
16.01.2015
Найти асимптоты функции y=(3x^2+4x-1)/(x+2)
математика ВУЗ
3329
Решение
Ответ:
В решение
Написать комментарий
Меню
Решим всё
Найти задачу
Категории
Статьи
Тесты
Архив задач
Присоединяйся в ВК