Задать свой вопрос   *более 50 000 пользователей получили ответ на «Решим всё»

Задача 27190 ...

Условие

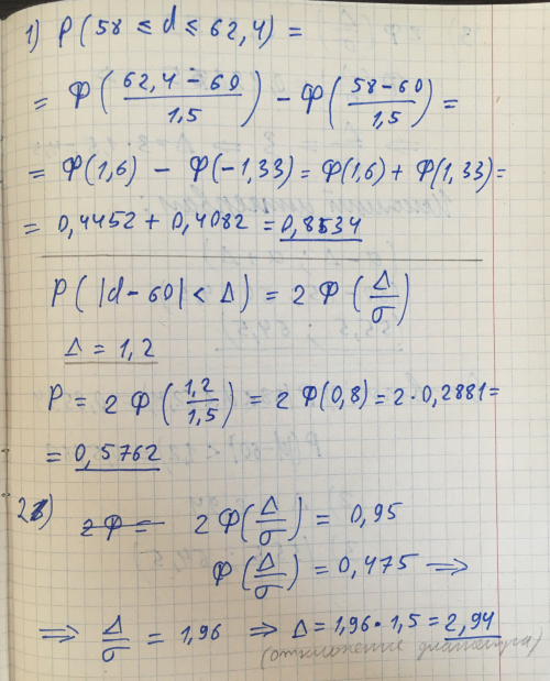
Диаметр детали - случайная величина, распределенная по нормальному закону с параметрами: а=60 мм, σ=1,5 мм. Найти вероятность того, что диаметр наудачу взятой из партии детали составит от 58 мм до 62,4 мм; отличается от ''а'' не более, чем на 1,2 мм? Какое отклонение диаметра детали от ''а'' можно гарантировать с вероятностью 0,95? В каком интервале с вероятностью 0,9973 будут заключены диаметры практически всех изготовленных деталей?

математика ВУЗ 7380

Решение

Написать комментарий

Меню

Присоединяйся в ВК