Задать свой вопрос   *более 50 000 пользователей получили ответ на «Решим всё»

Задача 2719 Если m и M наименьшее и наибольшее...

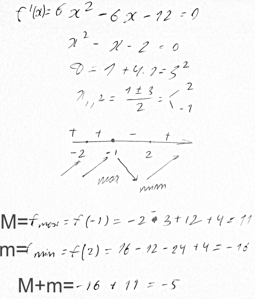
Условие

Если m и M наименьшее и наибольшее значения функции f(x)=2x^3-3x^2-12x+4 на отрезке [− 2;2], то значение выражения M + m равно:

математика ВУЗ 6726

Решение



Ответ: В решение

Написать комментарий

Меню

Присоединяйся в ВК