Задать свой вопрос   *более 50 000 пользователей получили ответ на «Решим всё»

Задача 2718 ...

Условие

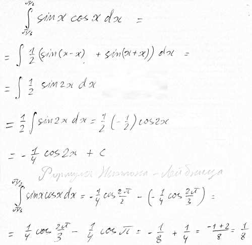
Вычислить интеграл: ∫sinxcosx dx [Pi/3;Pi/2]

математика ВУЗ 6699

Решение

1) Сокращаем по формуле преобразования произведения в сумму
2) Находим интеграл
3) Для нахождения ответа пользуемся формулой Ньютона-Лейбница


Ответ: 1/8

Написать комментарий

Меню

Присоединяйся в ВК