Задать свой вопрос   *более 50 000 пользователей получили ответ на «Решим всё»

Задача 2717 Найти точку максимума функции...

Условие

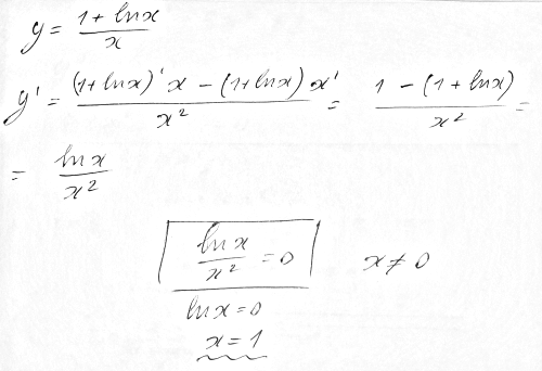
Найти точку максимума функции y=(1+lnx)/x

математика ВУЗ 2200

Решение

Приравниваем производную к нулю и находим единственную точку экстремума.

Ответ: 1

Написать комментарий

Меню

Присоединяйся в ВК