Задать свой вопрос
*более 50 000 пользователей получили ответ на «Решим всё»
Задача 2716
...
Условие
slava191
16.01.2015
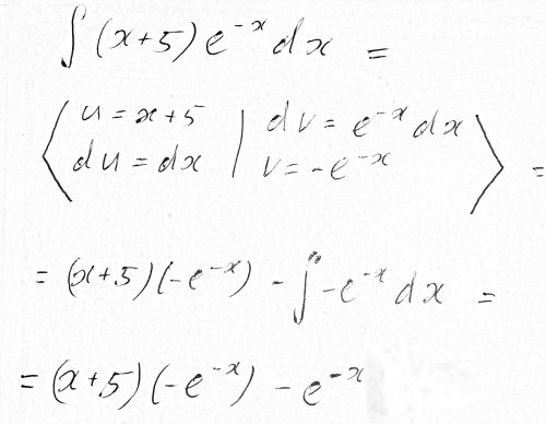
Вычислить интеграл: ∫(x+5)e^(-x)dx
математика ВУЗ
2599
Решение
Применяем метод интегрирования по частям
Ответ:
В решение
Написать комментарий
Меню
Решим всё
Найти задачу
Категории
Статьи
Тесты
Архив задач
Присоединяйся в ВК