Задать свой вопрос   *более 50 000 пользователей получили ответ на «Решим всё»

Задача 2714 Удовлетворяет ли функция y=lnx условиям...

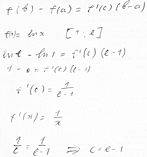
Условие

Удовлетворяет ли функция y=lnx условиям теоремы Лагранжа на отрезке [1;e]? Если да, то указать c.

математика ВУЗ 3969

Решение



Ответ: В решение

Написать комментарий

Меню

Присоединяйся в ВК