Задать свой вопрос   *более 50 000 пользователей получили ответ на «Решим всё»

Задача 2713 Правило Лопиталя. Вычислить предел...

Условие

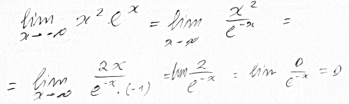
Правило Лопиталя. Вычислить предел функции: lim(x->-беск) x^2e^x

математика ВУЗ 3342

Решение

Сначала приводим к неопределенности бесконечность на бесконечность, затем берем производную числителя и знаменателя. Повторяем пока не пропадет неопределенность

Ответ: 0

Написать комментарий

Меню

Присоединяйся в ВК