Задать свой вопрос   *более 50 000 пользователей получили ответ на «Решим всё»

Задача 27129 Найти частное решение дифференциального...

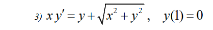
Условие

Найти частное решение дифференциального уравнения, удовлетворяющего данному начальному условию:

математика ВУЗ 682

Все решения

Однородное уравнение первого порядка.
Подстановка
y=ux
y`=u`*x+u ( х - независимая переменная и x`=1)

x*(u`*x+u)=ux+sqrt(x^2+x^2u^2)

x^2u`=sqrt(x^2+x^2u^2)- уравнение с разделяющимися переменными

u`=du/dx

du/sqrt(1+u^2)=dx/x

Интегрируем
ln|u+sqrt(1+u^2)|=ln|x|+lnC
Cx=u+sqrt(1+u^2)

Обратная замена
Сх=(y/x)+sqrt(1+(y/x)^2)

y(1)=0
C*1=(0/1)+sqrt(1+(0/1)^2)
C=1

О т в е т. Общее решение
Сх=(y/x)+sqrt(1+(y/x)^2)
Частное решение
х=(y/x)+sqrt(1+(y/x)^2)

Написать комментарий

Меню

Присоединяйся в ВК