Задать свой вопрос   *более 50 000 пользователей получили ответ на «Решим всё»

Задача 27128 Найти общее решение дифференциального...

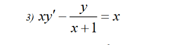
Условие

Найти общее решение дифференциального уравнения

математика ВУЗ 779

Решение

Перепишем уравнение в виде

y`-(1/(х^2+x))у=1

Это линейное дифференциальное уравнение первого порядка.
Существует два способа решения
метод вариации произвольных постоянных и метод Бернулли.
Решаю методом Бернулли.
Будем искать решение в виде
y=u*v
y`=u`*v+u*v`

u`*v+u*v`-(1/(x^2+x))*u*v=1

Перегруппируем
u`*v+[b]u*(v`-(1/(x^2+x))*v)[/b]=1 (#)


Так как u(x) и v(x) - произвольные функции.
Будем искать v(x) так, чтобы
[b]v`-(v/(x^2+x))[/b]=0

Это уравнение с разделяющимися переменными
dv/v=dx/(x^2+x)
ln|v|=ln|x|-ln|x+1| ( полагаем с=0)
v=x/(x+1)

Подставляем v в (#)


u`*(x/(x+1))=1
u`=(x+1)/x - уравнение с разделяющимися переменными
du=(x+1)dx/x

u=x+ln|x|+ C

y=u*v=(x+ln|x|+C)*x/(x+1) - о т в е т.

Написать комментарий

Меню

Присоединяйся в ВК