Задать свой вопрос   *более 50 000 пользователей получили ответ на «Решим всё»

Задача 2712 Найти промежутки вогнутости функции...

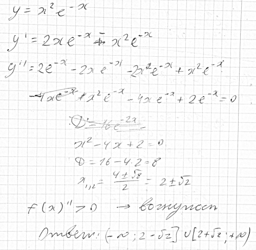
Условие

Найти промежутки вогнутости функции y=x^2e^(-x)

математика ВУЗ 2242

Решение

Вогнутость это когда вторая производная больше 0

Ответ: В решение

Написать комментарий

Меню

Присоединяйся в ВК