Задать свой вопрос
*более 50 000 пользователей получили ответ на «Решим всё»
Задача 2709
...
Условие
slava191
16.01.2015
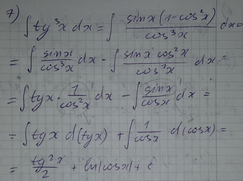
Вычислить интеграл ∫tg^3xdx
математика ВУЗ
14628
Решение
Ответ:
В решение
Написать комментарий
Меню
Решим всё
Найти задачу
Категории
Статьи
Тесты
Архив задач
Присоединяйся в ВК