Задать свой вопрос
*более 50 000 пользователей получили ответ на «Решим всё»
Задача 2708
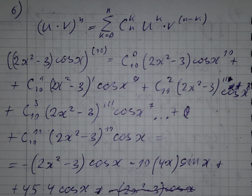
По формуле Лейбница вычислить десятую...
Условие
slava191
16.01.2015
По формуле Лейбница вычислить десятую производную функции ((2x^2-3)cosx)^(10)
математика 10-11 класс
2061
Решение
Ответ:
В решение
Написать комментарий
Меню
Решим всё
Найти задачу
Категории
Статьи
Тесты
Архив задач
Присоединяйся в ВК